Flat 50% off on all training & certification courses. Limited time offer Explore courses

Use these filters to find papers

  Question
27

The following table gives heights of boys and girls studying in a college.Find (i) Standard deviation of the heights of boys and girls taken together, (ii) Whose heights are more variable.


This question has 0 answers so far.
9

(a) Find the class intervals if the arithmetic mean of the following distribution is 33 and assumed mean 35: 

(b) "Statistics is a bundle of lies". Comment.


This question has 1 answers so far.
5

A company has to assign four workers A, B, C and D to four jobs W,X,Y and Z. The cost matrix is given below: 

Suggest an optimal assignment schedule and the total cost pertaining thereto.

This question has 1 answers so far.
5

From the marks obtained by 8 students in Accountancy and Statistics,compute rank coefficient of correlation:


This question has 0 answers so far.
4

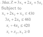
Solve the LP problem using simplex method:


This question has 0 answers so far.
3

Solve the following transportation problem whose cost matrix, availability at each plant and requirements at each warehouse are given as follows:


This question has 0 answers so far.
3


(a) Compute the regression coefficient of Y and X from the following data:

(b) If two regression coefficients are -0.9 and -0.3, what would be the value of the coefficient of correlation?


This question has 1 answers so far.
2

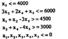
(a) Write the dual of the following linear programming problem:

(b) What are the characteristics of dual problem and what are its advantages?


This question has 1 answers so far.
1

"Statistics is the science of estimates and probabilities". "Elucidate the above statement and a more comprehensive definition of the science of statistics.

This question has 0 answers so far.
1

An animal feed company must produce 200 kg of mixture consisting of ingredient X1 and X2 daily. X1 costs Rs. 3 per kg and X2 costs Rs. 8 per kg. Not more than 80 kg of X1 can be used and at least 60 kg of X2 must be used. Find out how much of each ingredient should be used if the company wants to minimize the cost.

This question has 0 answers so far.
1

Write the dual of the following-

subject to conditions:


This question has 0 answers so far.
0

Distinguish between Spearman's and Karl Pearson's coefficient of correlation.

This question has 1 answers so far.
0

The following data gives the Age(x) and Blood Pressure(Y) for the 8 persons. Calculate the two regression equations. Take Ar-60 and A,-60.



This question has 1 answers so far.
0

Solve the following LPP:

Maximize

Subject to constraints:


This question has 1 answers so far.
0

What are the advantages of duality?

This question has 1 answers so far.
0

What is the meaning of shadow prices?

This question has 1 answers so far.
0

Solve the following transportation problem using Vogels' Approximation Method later check its optimality. 


This question has 1 answers so far.
0

Find the Coefficient of Skewness (by Karl Pearson's method) for the following data: 



This question has 1 answers so far.
0

Explain the following-

(i) Lorenz curve

(ii) IQR

(iii) Ogive curves

This question has 1 answers so far.
0

Find the missing values in the given table.


This question has 1 answers so far.
0

The firm gave bonus of Rs. 10, 15, 20, 25, 30 and 35 for individuals in the respective salary slab: Exceeding 60 but not exceeding 75; Exceeding 75 but not exceeding 90; and so on upto Exceeding 135 but not exceeding 150.

(b) Find the average, standard deviation and quartile deviation of the bonus paid.

This question has 1 answers so far.
0

The following are the weekly wages in Rupee of 30 workers of a firm:

The firm gave bonus of Rs. 10, 15, 20, 25, 30 and 35 for individuals in the respective salary slab: Exceeding 60 but not exceeding 75; Exceeding 75 but not exceeding 90; and so on upto Exceeding 135 but not exceeding 150.

(a) Generate the classes and draw the histogram of the data.

This question has 2 answers so far.
0

A computer center has 4 programmers. The centre needs four application programmes to be developed. The estimated computer time (in minutes) required by the different programmers to develop the application programmes is given below. 

Assign the Programmers to the Programmes in such a way that the total computer time is minimum.

This question has 7 answers so far.
0

A company has three factories at A, B and C which supply to warehouses at D,E,F and G respectively. Monthly production capacities of these factories are 250, 300 and 450 units respectively. warehouse requirements are 200, 225, 275 and 300 units, respectively. The current Unit transportation costs (in Rupees) from factories to warehouses are as follows:


Determine the optimum distribution for this company, to minimize cost.

This question has 0 answers so far.
0

Four Operators 01, O2, O3 and O4 are available to a manager who has to match four jobs J1, J2, J3, J4 done by assigning one job to each operator. The time needed by different operators for different jobs is given below.


i) How should the manager assign the jobs so that the total time needed for all jobs is minimum?

ii) If job J2 is not to be assigned to operator O2. What should be the assignment and how much additional total time will be required? 

This question has 1 answers so far.
0

a) Find the dual of

Maximize Z= 4x1+x2+7x3

Subject to the constraints

                    

b) Explain the following in brief:

i) Slack variable

ii) Surplus variables

iii) Shadow prices

This question has 1 answers so far.
0

a) Does the correlation coefficient imply 'causation' between two variables?

b) What is Rank Correlation? State merits and demerits of Spearman's Rank Correlation method.  

This question has 2 answers so far.
0

  a) The following data relate to the price and supplies of a commodity during a period of eight years

 

Calculate the coefficient of correlation between the two series;

b) What is regression? Why are there, in general, two regression lines? Under what conditions can there be only one regression line?

This question has 1 answers so far.
0

What are averages? Calculate the mean and median for the following frequency distribution

n:

This question has 0 answers so far.
0

a) Based on the frequency distribution given below, .compute the following statistical measures to characterise distribution.

i) Co-efficient of variation

ii) Inter-quartile range

iii) Modal value


This question has 0 answers so far.