Flat 50% off on all training & certification courses. Limited time offer Explore courses

Use these filters to find papers

  Question
1

Five men are available to do five different jobs. From past records the time (in hrs) that each man takes to do each job is known and given in the following table;


Find the assignment of men to jobs that will minimize the total time taken 

This question has 0 answers so far.
0

Solve the following problem by using lower bound technique.

Maximize Z= 10x1 +15x2 +8x3

Subject to 

 

This question has 0 answers so far.
0

Explain briefly :

d. Meta heuristics.

This question has 0 answers so far.
0

Explain briefly :

c. Simulated annealing technique

This question has 0 answers so far.
0

Explain briefly :

b. Genetic Algorithm

This question has 0 answers so far.
0

Explain briefly :

a. Tabu search I

This question has 0 answers so far.
0

In a game of matching coins with two players, suppose one player wins Rs 2 when there are two heads and wins nothing when there are two tails and loses Rs 1 when there are one head and one tail. Determine the payoff matrix, the best strategies for each player and the value of the game. 

This question has 0 answers so far.
0

Define with reference to game theory with an example:

v) 2 person zero sum games.

This question has 0 answers so far.
0

Define with reference to game theory with an example:

iv) Pay off matrix

This question has 0 answers so far.
0

Define with reference to game theory with an example:

iii) Saddle point

This question has 0 answers so far.
0

Define with reference to game theory with an example:

ii) Mixed strategy

This question has 0 answers so far.
0

Define with reference to game theory with an example:

i) Pure strategy

This question has 0 answers so far.
0

Hindustan construction company needs 3, 3, 4 and 5 million cubic feet of full at four earthen dams-sites in Punjab. It can transfer the fill from three mounds A, B and C where 2, 6 and 7 million cubic feet of fill is available, cost of transporting one million cubic feet of fill from mounds to the four sites in lakhs are given in the table.

Find IBFs by using any method and check for optimality. 

  

This question has 0 answers so far.
0

Define with reference to linear programming model.

i) Unbounded solution

This question has 0 answers so far.
0

Solve the following problem by dual simplex method

.Minimize Z = 2x1 + x2

Subject to 


This question has 0 answers so far.
0

Use duality to solve ;

Minimize Zx = 3x1 +x2

Subject to 

 

This question has 0 answers so far.
0

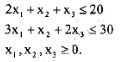
Solve by revised simplex method

Maximize Z = 6x1-2x2 + 3x3

Subject to 


This question has 0 answers so far.
0

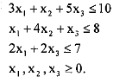
Use Big M method to solve the problem

Minimize Z = 3x1 + 2x2 +4x3

Subject to 


This question has 0 answers so far.
0

Solve the following LPP using two phase method.

Minimize Z = 2x1 +3x2+x3

Subject to 

 

This question has 0 answers so far.
0

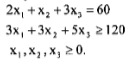
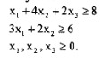
Use the simplex method to solve the following problem.

Maximize Z = X1 +2x2, +4x3

Subject to  

   

This question has 0 answers so far.
0

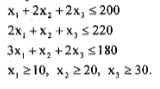
Find all the basic solutions to the following systems of equations identifying in each case the basic and non basic variable and finally the optimal solution.

Maximize Z = 5x1 + 3x2 - 4x3

Subject to 

   

This question has 0 answers so far.
0

The whit window company is a company with only 3 employees which makes two different kinds of handerafted windows a wood framed and an aluminum framed window. They earn $60 profit for each wood framed window and $30 profit for each aluminum framed window. Doug makes the wood frames and can make 6 per day. Linda makes the aluminium frames and can make 4 per day. Bob forms and cuts the glass and can make 48 square feet of glass per day. Each wood framed window uses 6 square foot of glass and each aluminum framed windows used 8 square feet of glass. The company wishes to determine how many windows of each type to produce per day to it maximize total profit. Formulate it as LPP and solve graphically. 

This question has 0 answers so far.
0

Define with reference to linear programming model.

v) Optimal Solution

This question has 0 answers so far.
0

Define with reference to linear programming model.

iv) Surplus variable

This question has 0 answers so far.
0

Define with reference to linear programming model.

iii) Slack variable

This question has 0 answers so far.
0

Define with reference to linear programming model.

ii) Feasible solution

This question has 0 answers so far.