|
|
Write short note on PID Controllers.
This question has 0 answers so far.
|
|
|
(b) Find the transfer function of an armature controlled D.C. motor.
This question has 0 answers so far.
|
|
|
(a) Obtain the transfer function of SFG shown:

This question has 0 answers so far.
|
|
|
(b) Find the closed loop transfer function of the system shown: 
This question has 0 answers so far.
|
|
|
(a) Find the transfer function of 
This question has 0 answers so far.
|
|
|
(f) Discuss the Lag compensation using example.
This question has 0 answers so far.
|
|
|
(e) What are the uses of polar polts? Explain.
This question has 0 answers so far.
|
|
|
(d) What is Nyquist stability criterion? Explain.
This question has 0 answers so far.
|
|
|
(c) Describe the steady state error for type 0, 1 and 2 system for step,ramp and parabolic input.
This question has 0 answers so far.
|
|
|
(b) Discuss the important characteristics of potentiometer.
This question has 0 answers so far.
|
|
|
(a) What is the difference between open loop and closed loop control systems? Discuss.
This question has 0 answers so far.
|
|
|
Write short note on Routh Hurwitz Criterion.
This question has 0 answers so far.
|
|
|
(a) For the system given by  Obtain the unit ramp response and steady state error.
This question has 0 answers so far.
|
|
|
Distinguish between open loop and closed loop control systems.
This question has 0 answers so far.
|
|
|
Explain the co-relation between time and frequency response of a typical second order system.
This question has 0 answers so far.
|
|
|
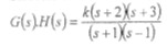
For a system having G(s).H(s) = 5/(s - 1) investigate, using Nyquist'scriterion, if the system is stable.
This question has 0 answers so far.
|
|
|
State and example Nyquist's stability criterion as applied to feedback control systems.
This question has 0 answers so far.
|
|
|
Enumerate steps adopted for sketching Root-Locus graph for a normal second order control system.
This question has 0 answers so far.
|
|
|
Sketch polar plot for G(s) = 3/[(s + 0.5) (s + 1)] and find its intersection with imaginary axis.
This question has 0 answers so far.
|
|
|
Derive expression for the output of an undamped unity negative feedback second order system to a unit step input.
This question has 0 answers so far.
|
|
|
Write short notes on Minimum Phase Network.
This question has 0 answers so far.
|
|
|
Write short notes on Magnetic Amplifier.
This question has 0 answers so far.
|
|
|
Write short notes on Feedback Compensation.
This question has 0 answers so far.
|
|
|
Write short notes on Signal flow graph.
This question has 0 answers so far.
|
|
|
(a) What are the advantages of closed loop control systems? Give examples.
(b) Compare P, PI and PID controllers.
(c) Define gain and phase margins.
(d) Check the stability of the system represented by
5s6 + 8s5 +12s4 + 20s3 +100s2 +150s + 200 = 0
(e) What is Lead compensation?
This question has 0 answers so far.
|
|
|
For 
Design a lag compensator, given 
This question has 0 answers so far.
|
|
|
Sketch the root locus for 
This question has 0 answers so far.
|
|
|
Sketch the bode plot of the transfer function 
This question has 0 answers so far.
|
|
|
Define and explain the various frequency domain specification.
This question has 0 answers so far.
|
|
|
Determine the resonant frequency Wr resonant peak Mr bandwidth for the system whose transfer function is given by
and for a unity feedback control system given by 
This question has 0 answers so far.
|
|
|
For a unity feedback control system given by 
(a) Find the static error constant (b) Find the steady state error for

This question has 0 answers so far.
|
|
|
Show that the system transfer function Y(s)/X(s) has a zero in the right half s-plane. Obtain y(t) when x(t) is a unit step for the system
shown. 
This question has 0 answers so far.
|
|
|
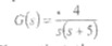
Obtain the unit step response of unity feedback system whose open loop transfer function is 
This question has 0 answers so far.
|
|
|
Discuss about DC servomotor and find the transfer function of field controlled DC motor.
This question has 0 answers so far.
|
|
|
For the system represented by the following equation find the transfer function X[s]/U(s) by signal flow graph technique. 
This question has 0 answers so far.
|
|
|
Find the transfer function of the following network. 
This question has 0 answers so far.
|
|
|
Write short notes on Servomechanism.
This question has 0 answers so far.
|
|
|
Simplify the block diagram shown and obtain the closed loop transfer function C(s)/(R(s). 
This question has 0 answers so far.
|
|
|
Write short note on: (b) Root Locus applications
This question has 0 answers so far.
|
|
|
Write short note on: (a) Routh Hurwitz stability criterion
This question has 0 answers so far.
|
|
|
The open loop transfer function of UFB system is given It is desired to have the velocity error constant and phase
margin as 40°. Design a lead compensator to meet the above
specifications.
This question has 0 answers so far.
|
|
|
(b) What is the minimum/non minimum phase system? Explain.
This question has 0 answers so far.
|
|
|
(a) Explain relative stability and its significance.
This question has 0 answers so far.
|
|
|
Sketch the bode plot of the transfer function 
This question has 0 answers so far.
|
|
|
(b) Write short note on PID controller.
This question has 0 answers so far.
|
|
|
(a) A unity feedback system is characterized by an open-loop transfer function Determine the gain K so that system will have a
damping ratio of 0.5. For this value of K determine the settling time,
peak overshoot and time to peak overshoot for a unit step input.
This question has 0 answers so far.
|
|
|
(b) The open loop transfer function of a servo system with unity feedback is . Find the static error constant and obtain the
steady state error of the system with input of: 
This question has 0 answers so far.
|
|
|
What are static error coefficients? Derive expression for the same.
This question has 0 answers so far.
|
|
|
What is polar plot? Explain procedure to sketch polar plot for type 0 and type 1 systems.
This question has 0 answers so far.
|
|
|
What is polar plot? Explain procedure to sketch polar plot for type 0 and type 1 systems.
This question has 0 answers so far.
|
|
|
A control system having G(s)= draw bode plot, with k=4 find gain margin and phase margin.
This question has 0 answers so far.
|
|
|
What are the limitations of frequency response methods?
This question has 0 answers so far.
|
|
|
Explain how to determine angle of arrival from poles and zeros to complex zeros
This question has 0 answers so far.
|
|
|
Sketch the root locus for unity feedback having . Determine the range of k for the system stability.
This question has 0 answers so far.
|
|
|
Find the range of k for which the system, whose characteristic equation is given below is
stable. F(s) = s3+ (k+0.5) s2 + 4ks + 50.
This question has 0 answers so far.
|
|
|
A unity feedback control system has Using Routh's criterion
calculates the range of k for which the system is i) stable ii) has closed loop poles more
negative than-1.
This question has 0 answers so far.
|
|
|
List the advantages and disadvantages of Routh's criterion (R-H-criterion).
This question has 0 answers so far.
|
|
|
A K-L-C series circuit is an example of second order function. If R = 1 , = 1H and C=1F, find response for a step voltage of 10 V connected as input and output across R.
This question has 0 answers so far.
|
|
|
An unity feedback system has G(s)= calculate its steady state error co-efficients when the applied input r(t) = 40 + 2t + 5t2.
This question has 0 answers so far.
|
|
|
Sketch the Nyquist plot of unit feedback control system having the open loop transfer
function Determine the stability of the system using Nyquist stability
criterion.
This question has 0 answers so far.
|
|
|
For the electrical circuit shown in Fig. 2(c), obtain over all transfer function using Mason's gain formula. 
This question has 0 answers so far.
|
|
|
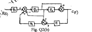
Obtain the transfer function for the block diagram shown in Fig. 2(b), using block diagram reduction method.  
This question has 0 answers so far.
|
|
|
List the features of transfer function.
This question has 0 answers so far.
|
|
|
List the features of transfer function.
This question has 0 answers so far.
|
|
|
List the features of transfer function.
This question has 0 answers so far.
|
|
|
List the features of transfer function.
This question has 0 answers so far.
|
|
|
List the features of transfer function.
This question has 0 answers so far.
|
|
|
List the features of transfer function.
This question has 0 answers so far.
|
|
|
For electrical system shown in Fig. Q1(C), obtain transfer function V2(s)/V1(s). 
This question has 0 answers so far.
|
|
|
Construct mathematical model for the mechanical system shown in Fig. Q1(b) Then draw electrical equivalent circuit based on F-V analogy.

This question has 0 answers so far.
|
|
|
A R-L-C series circuit is an example of second order function and
C = IF, find response for a step voltage of 10 V connected as input and output across R.
This question has 0 answers so far.
|
|
|
Obtain the state model for the electrical system given in following figure choosing the state variables as .

This question has 0 answers so far.
|
|
|
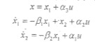
Find the transfer function for a system having state model as given below:
.
This question has 0 answers so far.
|
|
|
Sketch the Nyquist plot of unit feedback control system having the open loop transfer
function Determine the stability of the system using Nyquist stability
criterion.
This question has 0 answers so far.
|
|
|
What is polar plot? Explain procedure to sketch polar plot for type 0 and type 1 systems.
This question has 0 answers so far.
|
|
|
A control system
draw bode plot, with k = 4 and find
gain margin and phase margin.
This question has 0 answers so far.
|
|
|
What are the limitations of frequency response methods?
This question has 0 answers so far.
|
|
|
Explain how to determine angle of arrival from poles and Zeros to complex zeros.
This question has 0 answers so far.
|
|
|
Sketch the root locus for unity feedback having . Determine the
range of k for the system stability.
This question has 0 answers so far.
|
|
|
Find the range of k for which the system, whose characteristic equation is given below is
stable. .
This question has 0 answers so far.
|
|
|
A unity feedback control system has . Using Routh's criterion
calculates the range of k for which the system is i) stable ii) has closed loop poles more negative than
-1.
This question has 0 answers so far.
|
|
|
List the advantages and disadvantages of Routh's criterion (R-H-criterion).
This question has 0 answers so far.
|
|
|
What are the properties of good control system?
This question has 0 answers so far.
|
|
|
An unity feedback system has
calculate its steady co-efficients when the applied input 
This question has 0 answers so far.
|
|
|
What are static error coefficients? Derive expression for the same.
This question has 0 answers so far.
|
|
|
For the electrical circuit shown in the following figure, obtain over all transfer function using Mason's gain formula. 
This question has 0 answers so far.
|
|
|
Obtain the transfer function for the block diagram shown in the following figure, using block diagram reduction method.

This question has 0 answers so far.
|
|
|
List the features of transfer function.
This question has 0 answers so far.
|
|
|
For electrical system shown in the following figure, obtain transfer function .

This question has 0 answers so far.
|
|
|
Construct mathematical model for the mechanical system shown in the following figure. Then draw electrical equivalent circuit based on F-V analogy. 
This question has 0 answers so far.
|
|
|
What are the properties of good control system?.
This question has 0 answers so far.
|
|
|
Obtain the state model for the electrical system given in Fig. Q8(b) choosing the state Variables as i1.(t), i2(t) and Vc (t) 
This question has 0 answers so far.
|
|
|
Find the transfer function for a system having state model as given below: 
This question has 0 answers so far.
|