|
|
(a) If nPr=npr+1, and nCr=nCr-1_, then find n and r.
This question has 1 answers so far.
|
|
|
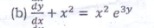
(a) If and then
show
that x=0 or .
This question has 0 answers so far.
|
|
|
(a) The demand and supply functions under pure competition are P = 1600- x2 and P = 2x2 + 400 respectively. Find the CS and PS.
This question has 0 answers so far.
|
|
|
(a) Solve the following system of equations by Gauss Jordan Method: X+ 2y +3z=4
2x + 3y +8z = 7
x - y - 9z = 1
This question has 1 answers so far.
|
|
|
(b) Everybody in a meeting shakes hand with everybody else. The total number of hand shakes is 66. Find the total number of persons in
meeting
This question has 2 answers so far.
|
|
|
(a) let a, b, c be positive integers such that is an integer. if a, b, c geometric progression and the arithmetic meat of a , b, c is b+2,
find the value of 
This question has 0 answers so far.
|
|
|
{b} Find the CS for the demand function x = 525 - 20p-p2 if the quantity demanded is 264 units.
This question has 0 answers so far.
|
|
|
Find the unit vector perpendicular to the vectors and 
This question has 0 answers so far.
|
|
|
(a Use mathematical induction to prove that 
This question has 1 answers so far.
|
|
|
For the following translation matrix, find the gross output for each industry for the final demand 18 and 44 units respectively 
This question has 0 answers so far.
|
|
|
(a)Find the value of r if (i) 10Cr=20Cr+1 (ii) 10Pr,=25Pr+2.
This question has 1 answers so far.
|
|
|
(b) Real number form an arithmetc progression. Sippose that, . Find the value of 
This question has 1 answers so far.
|
|
|
(a) an apartment complex has 250 apartments to rent. If they rent x- apartments then their monthly profit, in dollars, is given by . How many apartments should they rent in
order to maximize their profit.
This question has 1 answers so far.
|
|
|
Examine the following vector for linearly dependence and linear by independence (1,2,0), (2,3,0), (8, 13, 0).
This question has 0 answers so far.
|
|
|
Find ranges of values of x for which the curve y = x4 - 6x³ + 12x2 + 5x + 7 is concave upwards or downwards. Also
determine the points of inflexion.
This question has 0 answers so far.
|
|
|
b) Prove that for any positive integer number n, divisible by 3.
This question has 0 answers so far.
|
|
|
If show that 
This question has 0 answers so far.
|
|
|
(b). Solve the following system of equations using Gauss elimination method.
2xy - y + 3z = 9;x + y +z = 6 and x - y + z = 2.
This question has 0 answers so far.
|
|
|
for Using Cramer's rule scive the following 
This question has 0 answers so far.
|
|
|
(a) Show that
the
matrix satisfies the
equation and hence find 
This question has 1 answers so far.
|
|
|
(b) In a firm there are 20 men and 10 women. In how many can you
have a committee with 3 men and 2 women?
This question has 0 answers so far.
|
|
|
(a) If y = . prove that 
This question has 0 answers so far.
|
|
|
(b) if y =
This question has 0 answers so far.
|
|
|
(b) Write short note on business applications of differential equations.
This question has 1 answers so far.
|
|
|
The elasticity of function function y = f (x) is Determine the function if y = 6 when x = 4.
This question has 0 answers so far.
|
|
|
Optimise F = x2 + y2 + z2 when x + y + z = 3a.
This question has 0 answers so far.
|
|
|
The demand function of a commodity is P = 15e-x/3 where P is
price and x is the number of units demanded. Determine price and
quantity for which revenue is maximum.
This question has 0 answers so far.
|
|
|
(a)Find the point of inflection of the curve y= x3-3x2+6x+5. Also, find
maxima and minima of y.
This question has 0 answers so far.
|
|
|
Find the intervals on which the following function is increasing or decreasing 
This question has 1 answers so far.
|
|
|
(b) Compute the consumer' sarplus for the mille demand function Evaluate dollars per gallon, where Q is the quantity
of milk in thousands of gallons. Assumme an quilibrium quantity of 95
thousand and an equilibrium price of $3 per gallon
This question has 0 answers so far.
|
|
|
The third and thirteenth terms of an A.P are respectively equal to -40 and 0. Find the A.P and its 20th term,
This question has 1 answers so far.
|
|
|
The sum of three numbers in a G. P is 38 and their product is 1728. Find them?
This question has 2 answers so far.
|
|
|
Solve the following system of equations using Cramer's Rule 
This question has 1 answers so far.
|
|
|
(a) Verify whether vectors X1=(2,2,-7), X2=(2,1,2), X3=(0,1,-3) are
linearly dependent or independent.
This question has 0 answers so far.
|
|
|
Differentiate with respect to x 
This question has 1 answers so far.
|
|
|
Check for maxima or minima for the function 
This question has 1 answers so far.
|
|
|
(a) Evaluate 
This question has 0 answers so far.
|
|
|
If and find 
This question has 2 answers so far.
|
|
|
Differentiate sinx with respect to logx.
This question has 1 answers so far.
|
|
|
find (1) (2) (3)
This question has 3 answers so far.
|
|
|
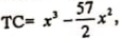
If the
total
cost function
for
a
commodity is
given
by
where x is the quantity of output, show that 
This question has 1 answers so far.
|
|
|
Suppose that marginal cost of a product is given by and fixed cost is proven to be 55. Find the total cost and average cost functions.
This question has 1 answers so far.
|
|
|
A firm has the following total revenue and total cost functions , where x is the output. Find maximum profit.
This question has 2 answers so far.
|
|
|
(a) For a certain item the demand curve is and the supply curve is. Evaluate . Five the consumer and producer surplus.
This question has 0 answers so far.
|
|
|
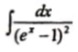
b) Evaluate  
This question has 0 answers so far.
|
|
|
(b) Suppose you are running a factory, producing some sort of widget that requires steel as a raw material. Your costs are predominant
human labour, which is $20 per hour for your workers and the steel itself, which runs for $170 per ton. Suppose your revenue R is loosely
modelled by the following equation , where h represents hours of Labour and represents tons of steel your
budget is $20000, what is maximum possible revenue?
This question has 0 answers so far.
|
|
|
(b)Find the extreme values of (x, y, z) = 2x + 3y + z such that x2 +y2=5
and x+z=1.
This question has 0 answers so far.
|
|
|
(a) Solve the differential equation
(x2+4y2+xy) dx=xw dy
This question has 0 answers so far.
|
|
|
(b) Solve (1-x2) (1-y) dx=xy(1+y)dy
This question has 0 answers so far.
|
|
|
b) solve the following system of linear equations by matrix method 
This question has 0 answers so far.
|
|
|
Solve the following differential equations (a) = 1 + x + y + xy
This question has 0 answers so far.
|
|
|
Solve the following differential equations

This question has 0 answers so far.
|
|
|
Solve the following differential equations (c) 
This question has 0 answers so far.
|
|
|
if a= 2i-j+2k and b=101i- 2j+7k, find the value of a axb. Also find the unit vector perpendicular to given vector.
This question has 0 answers so far.
|
|
|
If a=2i-j+3k, b-i+2j+k and c=3i+j-2k find (a) axb
(b) a.b
(c) (axb) (d) a x (bxc)
This question has 0 answers so far.
|
|
|
Find relative extreme for f(x,y) = x2-y2.
This question has 0 answers so far.
|
|
|
(a) Solve = (1 + x + y + xy)
This question has 0 answers so far.
|
|
|
(b) Solve (x2 + 4y2 + xy)dx = x2 dy.
This question has 0 answers so far.
|
|
|
Find the dot product of the following vector. Also find the angle between a and b
This question has 0 answers so far.
|