|
|
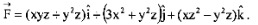
Find the divergence of the vector 
This question has 0 answers so far.
|
|
|
Find the angle between any two diagonals of a cube.
This question has 0 answers so far.
|
|
|
Prove that the general equation of first degree in x, y, z represents a plane.
This question has 0 answers so far.
|
|
|
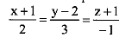
Find the angle between the lines, 
This question has 0 answers so far.
|
|
|
Prove that the lines, are perpendicular
This question has 0 answers so far.
|
|
|
Find the shortest distance between the lines. 
This question has 0 answers so far.
|
|
|
Find the equation of the plane containing the point (2, 1, 1) and the line, 
This question has 0 answers so far.
|
|
|
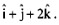
Find the constant 'a' so that the vectors are co-planar.
This question has 0 answers so far.
|
|
|
If and then prove that is perpendicular to and also find 
This question has 0 answers so far.
|
|
|
Find the volume of the parallelopiped whose co-terminal edges are represented by the vectors 
This question has 0 answers so far.
|
|
|
Find the velocity and acceleration of a particle moves along the curve at any time t".
This question has 0 answers so far.
|
|
|
Find the directional derivative of x2yz3 at(1, 1, 1) in the direction of 
This question has 0 answers so far.
|
|
|
Solve (D2 + 2D + 1) = x2 + 2x.
This question has 0 answers so far.
|
|
|
show that 
This question has 0 answers so far.
|
|
|
Show that the vector field, is solenoidal.
This question has 0 answers so far.
|
|
|
Find the constants a, b, c such that the vector field, 
This question has 0 answers so far.
|
|
|
Prove that L(sin at)= 
This question has 0 answers so far.
|
|
|
Find L[sint sin 2t sin 3t].
This question has 1 answers so far.
|
|
|
Find L[cos3t].
This question has 0 answers so far.
|
|
|
Find the inverse Laplace transform of 
This question has 0 answers so far.
|
|
|
Find 
This question has 0 answers so far.
|
|
|
Find 
This question has 0 answers so far.
|
|
|
Solve the differential equation, under the condition by Laplace transform techniques.
This question has 0 answers so far.
|
|
|
Solve the differential equation, by Laplace transform techniques.
This question has 0 answers so far.
|
|
|
Obtain reduction formula for where n is positive integer.
This question has 0 answers so far.
|
|
|
Find the modulus and amplitude of 1 + cos + i sin .
This question has 0 answers so far.
|
|
|
Find the cube root of 1 - i.
This question has 0 answers so far.
|
|
|
Find the nth derivative of eax cos (bx+c).
This question has 0 answers so far.
|
|
|
Find the nth derivative of 
This question has 0 answers so far.
|
|
|
If y= sin_1 x, prove that 
This question has 0 answers so far.
|
|
|
Find the angle of intersection of the curves 
This question has 0 answers so far.
|
|
|
Find the nodal equation of the curve r (1-cos ) - 2a.
This question has 0 answers so far.
|
|
|
Expand log (secx) upto the term containing x4 using Maclaurin's series.
This question has 0 answers so far.
|
|
|
If u = x3 - 3xy2 + x + ex cosy + 11 show that uxx + tyy = 0.
This question has 0 answers so far.
|
|
|
If prove that 
This question has 0 answers so far.
|
|
|
Find , where u = x+y+z, v= y + z ,w=z.
This question has 0 answers so far.
|
|
|
Express the complex number in the form a + ib.
This question has 0 answers so far.
|
|
|
Evaluate 
This question has 0 answers so far.
|
|
|
Evaluate 
This question has 0 answers so far.
|
|
|
Prove that: i) and ii) (n+1) = n! for a positive integer n.
This question has 0 answers so far.
|
|
|
Prove that 
This question has 0 answers so far.
|
|
|
Show that 
This question has 0 answers so far.
|
|
|
Solve 
This question has 0 answers so far.
|
|
|
Solve dy = 0.
This question has 0 answers so far.
|
|
|
Solve + y cotx =cosx.
This question has 0 answers so far.
|
|
|
Solved 
This question has 0 answers so far.
|
|
|
Solve (D2 - 4D + 13)y = cos 2x.
This question has 0 answers so far.
|